影響鈦合金的耐腐蝕性的因素很多,晶粒大小、晶粒取向[1]、位錯密度、合金元素含量、合金表面狀態等,鈦合金熱處理的冷卻速度對組織形成有很重要的意義[2]本實驗通過 改變TA9鈦合金板材熱處理方式來獲得更耐鹽酸腐蝕的鈦合金組織。
1、實驗材料與方法
本實驗采用的TA9鈦合金是經過三次真空自耗電弧爐熔煉成 準210m m×340m m 錠,經β相區開坯鍛造,α+β 相區終鍛制得準25mm 板坯。后經雙向熱軋制成5mm板材,經 700℃30min退火,使用線切割制成若干5mm×9m m×12mm塊體,取3個試樣分別在型號為R K-2-?48X100-110電阻爐中加熱至920℃保溫30min分別進行水淬、爐冷、空冷,爐冷至300℃出爐空冷。將所得試樣經240目打磨掉1mm后用600目、1200目碳化鎢砂紙打磨,之后用150nm SiO2溶膠拋光至劃痕消失。用配比為 HF:HNO3:H2O=1:3:10 的腐蝕劑腐蝕磨面 60s后, 用流動水沖洗干凈,然后用工業無水乙醇擦拭、并用吹風機吹干。之后在OLYMPUS - PMG3 光學金相顯微鏡下觀察并照相。
對取得金相試樣的試樣進行重新拋光至鏡面,為了排除其他切割面對耐腐蝕性的干擾,用銅導線纏繞試樣,對試樣其它面及導線進行蠟封僅保留軋制面,在CH I660D 電化學工 作站對以上試樣進行電化學腐蝕試驗,腐蝕介質為38%的濃鹽酸,試驗25 在 ℃水浴箱中進行。采用經典的三電極體系,鉑電極為輔助電極,飽和甘汞電極(SCE)作為參比電極,用夾具夾住試樣導線,浸入濃硫酸溶液中,然后測量 5min 開路電位,待電位穩定后測試交流阻抗,再測Tafel曲線。設置初始掃描電位為?1.2 V(vs SCE),最終電位為0.5V,掃描速度 10 mV/s,敏感度為 1×10?3。交流阻抗掃描的信號頻率范圍為:10 m Hz~100 k Hz,在開路電位處進行。之后觀察腐蝕試驗結束后試樣表面形貌,對比耐腐蝕性的差異。
2、結果與討論
2.1 金相組織
圖 1為 920℃不同冷速的試樣的金相組織,920℃并未打完全達到TA9相變點,由圖可以看出水冷組織為未溶解的α相顆粒及原始α相孿晶組織和馬氏體相α,相基體;空冷組織 為原始未溶解α相與針狀α相;爐冷組織為均勻的等軸α晶粒,晶粒內部有明顯的孿晶,原始試樣發生再結晶。

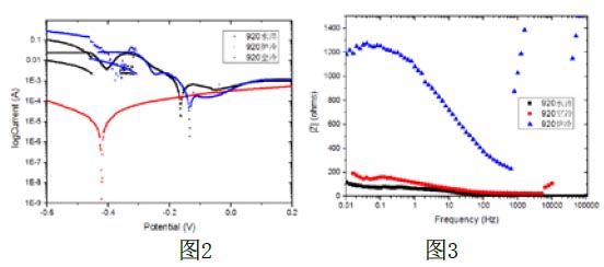
2.2 腐蝕性能

圖2為不同冷速的Tafel曲線,因為自腐蝕電流的大小反應材料腐蝕反應速率,由圖2可以看出自腐蝕電流 920水淬>920空冷>920爐冷;因此耐腐蝕性920爐冷>920空冷>920水淬圖3 為三種處理方式的Bod e,由圖可以看出阻抗絕對值在低頻區920爐冷>920空冷>920水冷,阻抗絕對值越大表示材料耐腐蝕性越好。 與Tafel曲線所得結果一致圖4為試樣腐蝕試驗后的表面相貌, 爐冷試樣的表面形貌較水冷、空冷平整,水冷、空冷試樣腐蝕坑較深 ,腐蝕較為嚴重。這與tafel曲線對比以及Bode圖得到的結論一致。

3、結論
1、熱處理方式以及不同組織形貌會引起TA9鈦合金耐腐蝕性差異。
2、爐冷得到的均勻的等軸α晶粒組織較空冷、水冷具有更好的耐腐蝕性。
參考文獻:
[1] GARBACZ H, PISAREK M, KURZYDLOWSKIK J.Corrosion resistance of nanostructured titanium[J].BiomolecularEngineer, 2007, 24: 559?563.
[2](蘇)鮑利索娃(Борисова,Е.А.);陳石卿譯 ,鈦合金金相學[M],北京:國防工業出版社,1986:228.
作者簡介:
王鶴(1989-),男,陜西乾縣人,在讀在職研究生,主要研究方向為鈦合金。
相關鏈接
- 2022-12-07 利泰金屬定制鈦板 TA9鈦棒 鈦合金鍛件 材質保證 批量價優
- 2022-11-13 利泰金屬定制鈦合金棒 鈦板 TA9鈦棒 規格全 廠家按圖生產
- 2022-07-26 利泰金屬常年供應鈦合金棒 TA9鈦棒 純鈦棒
- 2022-07-21 利泰金屬供應供應TA9鈦光棒 GR7鈦棒 鈦鈀合金棒
- 2022-06-26 定制TA9鈦靶合金棒 航空用TC4鈦棒 TC11鈦合金棒
- 2022-04-21 現貨供應TA9鈦棒 GR7鈦棒 鈦靶合金棒
- 2022-01-15 TC4/TA9/TA15鈦及鈦合金板材國家該標準GB/T 3621-2007
- 2020-12-04 供應TA9鈦棒 GR7鈦棒 GJB2218ATA9鈦光棒
- 2020-10-01 中國鈦谷TA15鈦板現貨庫TC4鈦合金板工廠Ti80板塊寶雞利泰金屬制造
- 2020-06-05 TA9鈦波紋管液壓成型工藝

