引言
鋯及其合金材料具有較低的熱中子吸收截面(鋯的熱中子吸收截面為 0. 18×10 ?28 m 2,而 Zr-2、Zr-4、Zr-1Nb等鋯合金的熱中子吸收截面為(0. 20—0. 24)×10 ?28 m 2 ),能夠有效地減少中子吸收損耗,從而提高燃料利用率及核能經濟性。鋯合金在300—400 ℃的高溫高壓水和蒸汽中有很好地抗腐蝕性,在反應堆內有相當好的抗中子輻照性能,同時還具有適中的力學性能和良好的加工性能,因此已被普遍用作以水冷反應堆為主的多種反應堆的核燃料包殼管和結構材料。例如,Zr-2 作為沸水堆燃料元件的包殼材料,Zr-4 作為重水堆和石墨堆燃料元件的包殼材料,改進 Zr-4、ZIRLO、M5 和 E635 被用作于先進壓水堆燃料元件、高燃耗燃料組件的包殼材料和結構部件并已進入商用[1-2] 。
鋯合金具有優良的抗腐蝕性能、力學性能和加工性能等,這與其微觀組織結構有直接的關系。因為材料的微觀結構及缺陷對材料的物理、化學和力學性能有著重要的影響,他們與性能之間的關系一直是材料科學領域中重大的理論與實驗研究課題。
目前,關于輻照前鋯合金的顯微組織國內外學者均已進行了系統地詳實的各種檢測分析,對輻照后的鋯合金也進行了大量的顯微組織方面的研究。對鋯合金顯微組織的研究,主要集中在各種工藝過程中鋯合金的第二相種類、結構和尺寸,以及晶粒在冷熱加工過程中的變化、氧化膜中氧含量、冷熱加工過程中織構的變化等方面,所有這些顯微組織結構的測試表征均離不開各種檢測設備和表征方法,這些先進表征方法的應用為鋯合金顯微組織的研究提供了強有力的工具,為改進合金設計和工藝提供了重要的參考,同時也為鋯合金在核工業、航空航天和醫療設備等領域中的應用奠定了堅實的基礎。
本文綜述了各種先進的表征方法在鋯合金顯微組織研究及應用中的最新進展,指出了待解決的問題,并結合工程實際就未來深入研究鋯合金顯微組織的方向提出了建議。旨在為適用于具有更高安全性和更長換料周期的核燃料,研發出材料性能更加優異的鋯合金包殼材料。
1、電子顯微分析技術
電子顯微分析技術(掃描電子顯微鏡(SEM)和透射電子顯微鏡(TEM))依賴于各種配件,對電子束與樣品相互作用后的各種信號進行收集和處理,是常用的研究材料顯微組織的方法。通過配備電子背 散 射 衍 射(Electron Back-scattered Diffraction,EBSD)和 X 射 線 能 譜 儀(X-ray Energy Dispersive Spectroscopy,EDS)等附件,將譜學表征技術運用到現代電鏡技術中,不僅可以獲得樣品微觀結構信息,同時還可以定性或定量獲取對應區域內材料的元素分布、能帶結構和價態信息。近年來,依托電子顯微分析技術的發展,對鋯合金顯微組織研究也不斷深入。
對于鋯合金(包殼)材料的顯微組織,國內外的主要研究對象有鋯合金的結晶行為、第二相、氫化物和氧化膜[3] ,其中第二相和氫化物可直接影響鋯合金在核反應堆極端的工作環境下的使用性能。合金生產時需要關注控制第二相的尺寸、形態及微觀結構的方法[4] ,而采用電子顯微鏡多種表征技術可針對鋯合金包殼的第二相、氫化物和氧化膜展開研究,不僅可以將顯微組織特征與結晶學關系聯系起來表征,還可以分析合金內部納米級的組織結構演變,為鋯合金包殼材料性能的優化改進提供支持。李強等[5] 在研究鋯合金中少量 Sn 或 Fe 元素對第二相形成及晶粒長大和遷移影響時,使用 SEM 觀察了晶粒與第二相粒子的形態和分布,采用附帶能譜分析的TEM 表征了晶粒和第二相的晶體學結構及成分。
結果表明:純 Zr 樣品中含有少量鐵的第二相,隨著Fe 含量的增加,均勻彌散分布在 Zr-Fe 合金晶粒內部和晶界處的第二相顆粒的尺寸增大,且數量增多;在純 Zr中加入小于 5%(質量分數)的 Sn后,Sn沒有以析出相的形式出現。通過 SEM 觀察到合金樣品中存在較大尺度的第二相顆粒時,可利用 FIB-SEM雙束電子顯微鏡,定位研究以確定 SEM 結果中的目標相。利用聚焦離子束(Focused Ion Beam,FIB)制備的 Zr-1. 0Fe合金樣品的 TEM 照片及 EDS分析結果,確定 SEM 發現的存疑相與普通 TEM 樣品的析出相一致,均為底心正交結構的 Zr 3 Fe相。
SEM 和 TEM 在協作研究某特定單個晶粒和單個未知相時是非常精準可靠的,但在研究鋯合金的織構時就略顯乏力。EBSD 最大的優點是可以將要求的某一塊區域的顯微組織和結晶特性聯系起來表征,快速分析合金樣品表面任意位置的顯微組織和織構信息,彌補了 SEM 無法分析掃描區域內所有相和晶粒的取向這一缺點,而且在保留了 SEM 常規特點的同時進行了空間分辨率微米級的衍射,從而給出晶粒的結晶學信息。EBSD 作為 SEM 附件,利用與 SEM 不同的信號成像,即發生布拉格反射的背散射電子。在核反應堆的高溫、高壓和強輻射的運行環境下,鋯合金和高溫水發生緩慢的水側均勻腐蝕(反應方程式為 Zr+2H 2 O→ZrO 2 +2H 2 ↑)[6] 。當氫含量較少時,氫占據四面體間隙而形成間隙固溶體[7] ;當氫含量達到固溶極限后,則在基體中析出氫化物(即氫化鋯),并在包殼管表面形成以單斜氧化鋯為主的氧化層[8] 。為研究鋯合金中加氫脫氫行為,H. H. Shen 等[9] 通過 SEM 和 TEM 對鋯合金氫化物的行為進行了原位觀察,在 FIB-SEM 雙束電子顯微鏡中使用 FIB 從鋯合金基體中刨削、切割而提取出合金薄片,并利用離子束沉積金屬鉑將提取出的鋯合金薄片焊接在 TEM 微柵上。在離子減薄的過程中,通過 SEM 發現鋯合金被離子減薄的區域由于 Ga 離子束的注入而出現許多片狀晶。為了進一步研究離子持續減薄前后鋯合金顯微組織的變化,研究人員對厚 200 和 100 nm 的同一鋯合金樣品進行 掃 描 透 射 式 電 子 顯 微 鏡 明 場(Scanning Transmission Electron Microscope-Bright-Field,STEM-BF)觀察,發現厚 200 nm 的鋯合金樣品僅有一些位錯線,當該樣品離子減薄到 100 nm 時緊鄰的鋯合金晶粒內部出現許多具有擇優取向的片晶。圖1為 α-Zr合金基體與氫化物片晶共存的顯微組織高分辨 TEM 圖。從圖 1可見,選區內電子衍射花樣為α-Zr 合金基體的[010]及 δ-Zr 氫化物的 [ 11ˉ 0 ] 帶軸方向衍射花樣的疊加,這與室溫下 δ-Zr氫化物為主要相的觀點[9-10] 相一致。α-Zr合金基體和 δ-Zr氫化物放大后的高分辨透射像,也證實了早先研究發現的 兩 相 外 延 關 系(0001) Zr // { 111ˉ } δ [ 112 ˉ 0 ]Zr //[ 11ˉ 0 ] δ [11-13] 。

(a)—α-Zr合金基體與 δ-Zr氫化物片晶共存的高分辨 TEM 像;(b)—α-Zr合金基體與 δ-Zr氫化物混
合相的選區電子衍射花樣;(c)—鋯合金基體的高分辨像;(d)—δ-Zr氫化物的高分辨像。
(a)—HRTEM images taken from α-Zr matrix and δ-type Zr hydride;(b) SAED patterns taken from α-Zr
matrix and δ-type Zr hydride;(c)—the magnified HRTEM images for α-Zr-matrix and δ-type Zr hydride
captured from the denoted areas in were shown;(d)—the magnified HRTEM images for α-Zr-matrix and
δ-type Zr hydride captured from the denoted areas in respectively.
圖 1 α-Zr合金基體與氫化物片晶共存的顯微組織高分辨 TEM 圖[9]
Figure 1 HRTEM images of α-Zr-matrix and δ-type Zr hydride
在鋯合金氧化行為及氧化膜的研究方面,除了顯微組織和缺陷對氧化行為的影響外,基體中的第二相對氧化侵蝕的影響也不可忽視。J. Huang等[14]研究發現,鋯合金氧化膜裂紋的形成與第二相粒子的 分 布 密 切 相 關 。 采 用 高 角 度 環 形 暗 場(High-Angle Annular Dark-Field,HAADF)像確定第二相顆粒的位置。圖 2 為 FIB-SEM 雙束電鏡制備的氧化膜橫截面樣品的 HAADF 圖。從圖 2 可以看到,氧化膜的裂紋止于第二相顆粒 P1、P2 分布軸的末端,第二相顆粒的分布方向與裂紋擴張的方向一致,這種位置關系表明裂縫的形成與第二相的分布密切相關。為了確認第二相顆粒 P1、P2、P3、P4 的結構及元素構成 ,采用高分辨透射電子顯微鏡(High Resolution TEM,HRTEM)測定了第二相的組成,并通過快速傅里葉變換(Fast Fourier Transform,FFT)對濾波后 HRTEM 像進行處理,圖 3為沿裂紋分布的 P1 和 P2 顆粒的 HRTEM 圖及其 FFT 花樣圖。從圖 3 可見:在 HRTEM 圖 A—E 區域的 FFT花樣分別為 AA、BB、CC、DD、EE,表明沿裂縫分布且處于鋯合金基體端的 P1顆粒由 β-Nb相氧化為單斜 Nb 2 O 5 相,處于氧化膜端的 P2 顆粒為單斜 Nb 2 O 5和四方 NbO 2 的混合相;而未沿裂縫分布且同處于氧化膜端的 P3、P4顆粒均為四方 NbO 2 和立方 NbO 的混合相,這表明沿第二相顆粒分布導致裂紋的形成,所形成的裂紋又加速了第二相粒子的氧化,進而促進了氧化膜裂紋的形成。FFT 選取衍射點為篩選信號濾去雜波得到的反傅里葉變換(Inverse Fast Fourier Transform,IFFT)條紋,通過分析 IFFT 條紋可推斷出在第二相顆粒氧化物及其周圍的 ZrO2基體中存在大量的缺陷,并且根據可觀察到的莫爾條紋,可以推斷出在 P3 和 P4 附近有應力集中形成的相互重疊的變形晶格。

圖 2 氧化膜橫截面樣品的 HAADF像 [14]
Figure 2 The cross-sectional HAADF image of theoxide film
(a)—P1顆粒的 HRTEM 圖像;(b)—P2顆粒的 HRTEM 圖像;(c)—P1和 P2顆粒 HRTEM 圖像的 FFT花樣。
(a)—HRTEM image of P1 particle; (b)—HRTEM image of P2 particle; (c)—FFT patterns of P1 and P2 par-ticles.

圖 3 沿裂紋分布的 P1和 P2顆粒 HRTEM 圖像的 FFT花樣 [14]
Figure 3 HRTEM images of the P1 and P2 particles distributed along the crack
2、電子探針顯微技術(EPMA)
電 子 探 針 (Electron Probe Microanalysis,EPMA)全稱為電子探針 X射線顯微分析,該技術為一種用于觀察微觀結構和表面特征的高分辨率顯微鏡技術。19 世紀 40 年代末,加拿大-美國籍物理學家希利爾(James Hillier)首次將電子光學與 X 射線光譜學相結合,初步提出電子探針 X 射線顯微分析的概念,隨著后人的繼承發展,第一臺電子探針 X射線顯微分析儀在約 10年后問世。
EPMA 是利用電子槍發射的電子束,在聚焦為直徑很小的極細電子束后擊打到樣品表面,通過高能電子與原子核外電子的相互作用,將核外電子激發出去,外層電子向低能級躍遷產生特征 X射線,通過分析 X射線信號對材料的微觀組織結構進行分析表征。在具體應用中,還會利用電子束與試樣作用產生的二次電子與背散射電子等信號,并結合波長色 散 譜 儀(Wavelength Dispersive Spectrometer,WDS) 與 能 量 色 散 譜 儀 (Energy Dispersive Spectrometer,EDS)等檢測儀器進行材料的成分和表面形貌的分析[15] 。M. C. Yeh 等 [16] 在 Ni-Ti-Zr 三元體系的相分析中,利用 EPMA獲得了約 30個初始合金成分各不相同的樣本在 800 ℃下的各相含量,并在三元相圖中清晰地標注了出來,由三元相圖可知 Ni(Ti,Zr) 2 的 組 成 范 圍 為 Ni 原 子 百 分 數 為27%—42%、Ti為 26%—57% 和 Zr 為 20%—40%。
在合金元素分布分析方面,高陽等[17] 在冷卻速率對模擬失水事故(Loss of Coolant Accident,LOCA)后ZIRLO 合金殘余塑性的影響研究中,利用 EPMA 針對不同冷卻速率下,中間相 prior-β 相到氧化膜內表面氧含量分布情況進行了測定,研究結果表明:隨冷卻速率與冷卻時間的增大,ZIRLO 合金 prior-β相氧含量呈現下降趨勢,這使得該相顯微硬度下降,并最終導致其殘余塑性的增加;通過對截面上微區元素分布的 EPMA 掃描發現,當冷卻速率降低時 ZIRLO中的 Fe、Nb等元素明顯重排,并在 α相、prior-β相針狀組織晶界處產生偏析,這導致該針狀組織細化而達到細晶強化的效果,也對材料的殘余塑性產生了正面影響。李青等[18] 通過 EPMA 面分析,獲得了氧含量及其在 Zr-4 基體與利用熱噴涂工藝制備的 Cr涂 層 中 的 擴 散 與 分 布 規 律 。 E. Torres 等[19] 利 用EPMA 分析了 Zr-4 包殼材料在 LOCA 蒸汽氧化后的氧分布,通過 EPMA 方法表征了局部區域氧濃度及蒸汽氧化后樣品內的氧氣分布規律,這種偏析是由于 β相轉變為更穩定的 α(O)層,并且結合軟件處理提出了一個新的模型來描述兩相區的氧氣擴散機制。M. Steinbrück 等[20] 在研究 M5 鋯合金上的氧穩定的 α-Zr (O)與氮的反應動力學研究中,利用微探針元素分析得到了完全反應后相關相 Zr、Nb、O、N的分布情況,在 1 200 ℃氮化下的樣品中,O 和 N 圖清晰地表明氧化相與氮化相的混合狀態、密集的氧化相與孔隙分布及氧的濃度梯度,而 Nb 在樣品中則趨于較為均勻的分布狀態,結合點分析和線掃描的測定結果最終給出了氧穩定的 α-Zr (O)與氮氣反應動力學的數據,并認為其具有線性的動力學特征,α-Zr (O)的初始組成還與溫度具有強烈的依賴性。
在合金微組織與結構分析方面,胡小剛等[21] 利用 EPMA 截面圖,對其制備的電弧離子鍍 Cr 涂層Zr-4 合金包殼材料在 1 000、1 100、1 200 ℃下高溫氧化后產生的不同缺陷進行表征(見圖 4),發現:在1 100 ℃下 Zr-4 合金氧化程度加深,Zr-Cr 互擴散層加厚,初始 Cr 層減薄,并且出現了許多尺寸較小的氧化層鼓泡;相比之下,在 1 200 ℃下氧化后,Cr 涂層更加明顯地形成四層組織結構(如致密的 Cr 2 O 3及 Zr-Cr互擴散層等),這樣的結構將對 Zr-4合金的基體產生一定的保護效果,降低其被繼續氧化與破壞的風險。

圖 4 1 000、1 100、1 200 ℃高溫氧化后涂層中 Cr元素成分分析及演化
Figure 4 Composition mappings and evolution of chromium element in coating after oxidation at 1 000,1 100 and 1 200 ℃
EPMA 可通過對樣品能譜和波譜信號的分析對比,以達到對微區域的成分類型與分布、定量的分析。EPMA 用于分析合金相及其夾雜物時,具有對各個相進行識別分析,以及對材料組分信息與形貌對比的能力優勢[22] ,在合金的元素偏聚、雜質檢測、擴散與相分析、礦物的成分測定等方向得到應用。
此外,EPMA 還可針對鋯合金包殼材料的元素分布進行分析,如分析熱處理或氧化處理后鋯合金中主要合金相元素及氧的偏聚情況、擴散相分析等。其次,EPMA 在鋯合金微觀組織結構的表征分析中也有一定的應用,其強大的微區元素分析能力及微束分析,與 EDS、WDS 等檢測儀器聯用的特點是密切相關的,在對鋯合金(包殼)材料的分析過程中可以得到一些其他檢測技術不易獲得的信息。
3、原位檢測技術
3. 1 透射電子顯微鏡原位輻照技術
透射電子顯微鏡原位輻照技術是在透射電子顯微 鏡(Transmission Electron Microscope,TEM)內部對材料進行輻照實驗的一種方法,這技術結合了透射電子顯微鏡的高空間分辨率和輻射實驗的原位觀察能力,可以用于研究材料在輻照條件下的行為及輻照引起的微觀結構的變化。
鋯合金的輻照損傷是由原子級缺陷或缺陷簇的產生引起的,這些缺陷簇在從皮秒到幾十年的時間跨度的持續輻照下演化為納米級微觀和宏觀缺陷。將離子加速器與 TEM 集成,可以讓人們在對鋯合金進行離子輻照的同時,觀察其缺陷的演化,消除了以往非原位 TEM 研究中樣品從輻照到觀察過渡的復 雜 性 ,并 能 提 供 更 連 續 和 詳 細 的 缺 陷 演 化 圖像[23] 。透射電子顯微鏡原位離子輻照技術,已在很多方面得到應用。
3. 1. 1 耐事故燃料包殼與涂層的反應
鍍鉻鋯合金在高溫下有更好的抗氧化能力,從而能增強反應堆的安全性。然而,在持續的中子輻照下鋯合金表面的氧化鉻涂層必須始終保持附著能力。J. Ribis 等[24] 對 Cr涂層 Zr-4 材料在特定離子輻照實驗前后的界面區域研究發現,經離子輻照后在特定條件下可觀察到鋯合金-鉻界面相已明顯溶解(見圖 5), 鋯合金-鉻界面明顯變小,表明溶解過程中伴隨著一種反直覺的輻射誘導銳化現象。

(a)—Zr-Cr界面的亮場 TEM 圖像;(b)—離子輻照后的相同區域。
(a)—bright field TEM image of the Zr-Cr interface;(b)—same area after ion-irradiation.
圖 5 輻照前后的界面區域
Figure 5 The interface region before and after irradiation
3. 1. 2 鋯合金的蠕變
核反應堆材料的輻照蠕變現象是在小恒載和長期輻照下發生的一種粘塑性變形現象,然而對于控制輻照蠕變的基本變形機制一直沒有明確的認識。M. Gaume 等[25] 采用中壓電子顯微鏡(Intermediate Voltage Electron Microscope,IVEM),以轟擊注入能量為 1 MeV、束流密度為 6×10 14 m ?2 ·s ?1 的 Kr 2+離子流對 Zr-4 合金進行原位輻照,同時對樣品施加較低的應力,在透射電子顯微鏡內觀察樣品的原位變形,分析了不同晶粒中位錯的運動并發現:當離子束關閉時,所有在施加應力下觀察到的位錯都逐漸被輻照缺陷釘住;當離子束被打開時,位錯在照射下開始移動,直到離子束被再次關閉。由此提出,解釘是由傳入離子在釘扎點附近產生的位移級聯的局部效應引起的,這種新型的位錯滑移機制被認為對反應堆內鋯合金的蠕變起著至關重要的作用。
3. 1. 3 第二相的變化
在 Zr-Nb 合金中,由于 ω 相通常與合金力學性能的退化有關,因此研究該合金體系在輻照影響下ω 相的演化具有重要意義。合金 ω 相的形成,可以通過 bcc 晶格的相鄰{222}平面以周期性方式崩塌來表示。L. Goel等[26] 在 Zr-20Nb合金原位 TEM 研究中發現,在溫度 473和 573 K下,以能量 2 MeV、通量約 1. 5×10 20 cm ?2 的電子束對樣品進行原位電子輻照,通過觀察 β 相電子衍射圖中某一特定區域的彌漫性 ω相強度分布的發展及與相應晶體 ω結構的衍射點位的轉移,監測了亞穩 β 相在電子輻照下的分解過程,從而研究了 ω 相的演化規律,結果表明:通過 SAD 模式(選區衍射模式),觀察到合金具有彌散散射和條紋等 ω 相形成特征,同時峰值強度最大值在整個轉變過程中不斷移動;此外,隨著電子能量和輻照溫度的增加,ω 相在經過一定時間的輻照后趨于不穩定,這種不穩定被歸因于輻照后空位濃度的積累。
3. 2 原位電化學阻抗譜研究
原位電化學阻抗譜(Electrochemical Impedance Spectrum,EIS)技術是通過對電化學系統施加一個小的正弦交流電位(或電流)作為攝動信號,通過測量電流(或電位)響應,來確定電化學系統阻抗的頻率依賴性[27] ,從而獲得各種材料信息和界面信息。
原位電化學阻抗譜主要應用于鋯合金腐蝕過程中阻抗模量及氧化膜厚度的變化,進而研究鋯合金氧化膜的腐蝕行為,并且結合電子顯微鏡分析,進一步觀察腐蝕前后氧化膜的顯微組織。T. Kim 等 [28] 通過原位電化學阻抗譜實驗,研究了 Zr-Nb-Sn鋯合金在壓水堆模擬一次水條件下( 360 ℃、不同溶解氫含量)的電化學特性,測定了鋯合金氧化膜厚度和電阻率隨時間的變化規律,發現在高溶解氫的條件下鋯合金氧化膜腐蝕速率更快。V. Reznikova等 [29] 通過原位電化學阻抗譜實驗研究了 Zr-4 和 Zr-1Nb 在340 ℃下在非活性 VVER 主冷卻劑中的腐蝕行為,結合法拉第定律和 Stern Geary 近似(Faraday's Lawand Stern-Geary approximation,FLSG)計算了氧化層厚度,并以其作為累積腐蝕速率的形式,通過比較瞬時腐蝕速率和累積腐蝕速率,證明了過渡時間的測定可能不準確。
3. 3 原位拉伸實驗
原位拉伸實驗是指在拉伸實驗的進行過程中,同時使用透射電子顯微鏡或掃描電子顯微鏡對鋯合金樣品作觀察,這種方法可以實時觀察鋯合金的變形行為。Y. Zhang 等[30] 采用原位環拉伸,研究了不同氫濃度下鋯合金包層的膨脹變形行為。圖 6為徑向氫化物引發裂紋的原位SEM圖,圖中標記為C1和C2的氫化物是周向氫化物、標記為 R1和 R2的氫化物是徑向氫化物。從圖 6可以看出,隨著拉伸位移增大,徑向氫化物更傾向于形成裂紋。同時,環拉伸現場的觀察結果也表明,徑向氫化物較周向氫化物更傾向于開裂。結合現場觀測和斷口分析結果,提出了基于氫化物鋯合金包層膨脹變形的斷裂模型。

(a)—拉伸位移 0. 80 mm 的微觀結構;(b)—拉伸位移 0. 90 mm 的微觀結構;(c)—拉伸位移 0. 95 mm 的微觀結構;(d)—拉伸位移 1. 00 mm 的微觀結構。
(a)—microstructure with the tensile displacement of 0. 80 mm;(b)microstructure with the tensile displace-ment of 0. 90 mm;(c)—microstructure with the tensile displacement of 0. 95 mm;(d)—microstructure with the tensile displacement of 1. 00 mm.
圖 6 徑向氫化物引發裂紋的原位 SEM 觀察
Figure 6 In situ SEM observation of the crack initiation with radial hydrides
3. 4 原位拉曼光譜
拉曼光譜(Raman spectroscopy)是一種光的非彈性散射效應,來源于分子振動(和點陣振動)與轉動,可用于檢測鋯合金成分及結構的變化,同樣是研究水中溶解氫對鋯合金的腐蝕行為。T. Kim 等[31]采用原位拉曼光譜,研究了在不同溶解氫含量下(2. 49 和 4. 15 mg·kg ?1 )氧化 100 d 后鋯合金的腐蝕行為并發現:在高溫水環境中溶解氫的含量會影響氧化鋯的相組成,在高溶解氫含量下氧化鋯會加快由四方相向單斜相的相變(見圖 7)。圖 7 為 Zr-Nb-Sn 樣品在氫含量 4. 15 mg·kg ?1 的高溫(360 ℃)水中分別氧化 30、50、80 和 100 d 后的原位拉曼光譜,圖中 M 和 T 標記分別表示氧化鋯的單斜相和四方相所對應的峰,圖上半部分的豎線表示與藍寶石和硼酸產生的硼酸離子相對應的拉曼峰。從圖 7 可見,隨著氧化時間延長,氧化鋯發生了由四方相向單斜相的轉變。

圖 7 Zr-Nb-Sn 樣 品 在 含 溶 解 氫 4. 15 mg ·kg ?1 的 高 溫(360 ℃)水中氧化不同時間后的原位拉曼光譜圖
Figure 7 In situ Raman spectra of Zr-Nb-Fe specimen after 30, 50, 80 and 100 d oxidation in high-temperature (360 ℃) water containing 4. 15mg·kg ?1 of dissolved hydrogen
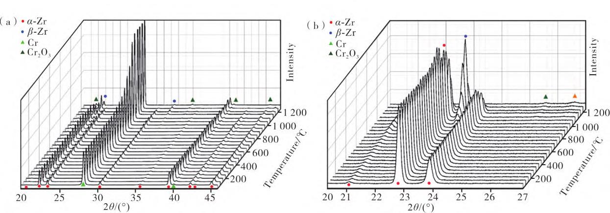
3. 5 原位 X射線衍射
原位 X 射線衍射(X-Ray Diffraction,XRD)是利用高強度、高度準直的同步輻射 X 光源,可以快速、高精度分析鋯合金物相,間接分析元素及價態分布,且對樣品幾乎沒有損傷。目前,對于鋯合金的研究而言,原位 X射線衍射應用得非常少,或許是因為同步輻射資源在全球十分地有限[32] 。近 5 年來,使用原位 X 射線衍射對鋯合金進行的研究僅找到 1 項,近 7 年僅有 2 項,均為 M. S. Syrtanov 等[33-34] 在俄羅斯科學院西伯利亞分院 Budker 核物理研究所西伯利亞同步和太赫茲輻射中心的精密衍射儀 II站進行的。他們采用原位 X 射線衍射對含 Cr/Mo 保護涂層的 Zr-1Nb鋯合金高溫氧化過程進行研究(見圖 8)并發現:鋯合金與 Cr涂層在 25—1 250 ℃下,隨著溫度的增加樣品內發生了由 α-Zr相到 β-Zr相的相變;同時,還出現了金屬間化合物 Cr2Zr 相和 Cr2O3相,前者是高溫下鋯和鉻相互擴散形成的,后者則是實驗室內殘余氧對 Cr表面部分氧化造成的。表明,借助原位 XRD 實驗,可幫助他們對通過光學顯微鏡和掃描電鏡觀察到的 Mo-Zr互擴散層的擴散過程進行描述,以及對生長機理進行研究[33] 。

圖 8 25—1 250 ℃內鋯合金與 Cr涂層下的相變原位 XRD圖
Figure 8 Phase transitions in Zr alloy with the Cr coating under liner heating in the temperature of 25—1 250 ℃
4、原子探針分析技術(APT)
原子探針(Atom Probe Tomography,APT)是精度很高的一種測試分析儀器,近 20 年來發展迅猛。在場離子顯微鏡下的針狀樣品被施加很高的電壓,其尖端的原子易被電離并在電場的作用下運動,通過測量質荷比與利用電子倍增器等信號放大與處理系統確定原子的種類,再通過層層的電離與探測,利用計算機處理可以獲得三維下原子的排布信息,即各類原子在樣品中的分布情況[35] 。在鋯合金研究中,APT 對于合金中元素偏聚現象、氧化過程、氫的分布等分析和納米尺度下原子分布情況的表征都有著重要的應用。
4. 1 在元素偏聚方面
在元素偏聚的分析方面,原子探針是十分常用且行之有效的測試分析方法之一。利用 APT 可以非常清晰地獲得鋯合金樣品中基體元素與各溶質元素的分布情況與偏析行為,并依據結果推測其相互關系。D. Hudson 等[36] 采用 APT,對經輻照與熱處理后的 ZIRLO 鋯合金研究發現,大量的 Fe和 Nb一同強烈地表現出偏析的現象,而 Sn、O、C 或 N 的偏析并不明顯。T. Sawabe 等[37] 通過高能脈沖激光APT,研究了 Zr-2中鋯基體與第二相粒子的化學組成,用相應原子的自然豐度代表峰表示原子濃度,發現 Zr 2 (Fe,Ni)中的 Si能降低主要由 Ni引起的吸氫行為,并提高了合金的耐腐蝕性。B. Gault 等[38] 利用 APT 發現,在熱處理前的淬火過程中合金中的Fe 會在晶界形成 Zr 3 Fe 的偏析,Cr會在晶界處形成小球形顆粒或在位錯周圍形成柯垂爾氣團,Fe與 Cr的行為對合金的耐腐蝕性至關重要。Liang 等[39] 采用原子探針探究了 Zr-Nb 合金中 Fe 的偏析與其耐腐蝕性的關系過程,發現 Fe 在 β-Nb/α-Zr的相界面上選擇性地偏析,以至于出現 Fe濃度峰值,Fe原子百分數從 0. 4% 至 1. 2%,鐵的選擇性偏析可能是受到熱處理和冷軋引起的結構缺陷影響。
4. 2 在合金氧化方面
原子探針技術也在合金腐蝕情況的研究中展現出了優勢。早在 2009 年,牛津大學的 D. Hudson等[40] 采用 APT 并與激光脈沖等技術結合的方法,對純鋯的氧化過程進行研究并發現,經過空氣或在水溶液中溫和的光氧化作用,鋯表面上生成了納米量級的氧化鋯薄膜(ZrO 1?x )初始層,而在激光脈沖的條件下則產生穩定的 ZrO2,并且觀察到了氫化物和氫的析出。此外,D. Hudson 等[41] 還利用系統化的自動測距程序結合 APT,更加清晰地揭示了 ZIRLO基體中鐵的分布,以及其在腐蝕過程中的行為,這樣的自動測距指標在低濃度溶質的分析中具有更高的準確性。結果表明,鐵的濃度在富氧的外部區域升高,并且氧濃度的增加是晶格畸變增大及減小因容納鐵原子而產生應變的重要原因。Y. Dong等[42] 利用 APT 對純 Zr、Zr-4 和 Zr-0. 4Fe-0. 2Cr 在 360 ℃水熱條件下處理后的氧化層進行了分析,結果表明:元素分布符合 TEM 的結果,并觀察到出現富含 Fe、Cr的納米析出物;沿著 ZrO 2 的晶界,在 ZrO2 /ZrO 和ZrO/Zr (O) sat 界面觀察到 Fe和 Sn的分離和聚集;在ZrO2前沿觀察到一連串的亞氧化物相,包括一層薄的 ZrO 與飽和固溶體 Zr (O) sat ;不同氧化相之間的界面形態各不相同,ZrO與 ZrO2 的界面更加平整,而與Zr(O) sat 的界面則是凹凸不平的。圖 9 為 Zr-Fe-Cr合金 Fe 偏聚情況及濃度,圖 10 為純 Zr 氧化層的分布情況及 Zr、O濃度分布。

(a)—APT重構顯示含 Fe的晶界偏析;(b)—沿圖(a)中箭頭所示的晶界濃度分布。
(a) (b)(a)—APT reconstruction showing the grain boundary with Fe segregation; (b)—concentration profile across the grain boundary along the arrow shown in (a).
圖 9 Zr-Fe-Cr合金 Fe偏聚情況及濃度
Figure 9 Segregation and concentration profile of Fe in Zr-Fe-Cr alloy B. De Gabory 等[43]
在 Zr-4 和 ZIRLO 腐蝕過程中腐蝕速率變化機制與氧化物的動力學轉變的研究中,利用 APT 對樣品的氧化物/金屬界面進行了分析,發現與電子能量損失譜(Electron Energy Loss Spectroscopy,EELS)的結果很好地符合,經反應釜中高壓氧化后樣品中出現一系列的相與擴散層(如立方相 ZrO 的中間層、Zr (O) sat 氧飽和亞氧化物層)及從固溶體到金屬相的氧濃度梯度呈下降狀態的區域。
4. 3 在氫的檢測方面
鋯合金包殼材料在用于核燃料包層的運行過程中,會發生氫化物脆化的現象。在氫的檢測方面,G. Sundell等[44] 利用 APT 與質譜,研究了氫和氘在氧化層的分布情況,通過 Fe 的偏析現象確定了晶界,并分離出了腐蝕產物中的氫,結果表明鋯合金的吸氫行為依靠氧化物晶界作為主要途徑。B. M.Jenkins 等[45] 將 APT 應用于中子輻照的鋯合金,研究發現在含有 β-Nb第二相粒子的樣品中,第二相粒子內氫含量相較周圍 Zr 基體增加,富含 Nb 的第二相粒子成為了 Zr中的弱氫阱。

(a)—APT重構的包含氧化物/金屬界面的 10 nm 切片;(b)—圖(a)中的濃度分布。
(a)—a 10 nm slice from an APT reconstruction containing the oxide/metal interface;
(b)—concentration profile along the arrow indicated shown in (a).
圖 10 純 Zr氧化層的分布情況及 Zr、O濃度分布
Figure 10 Distribution of oxide layer and concentration of Zr and O in pure Zr
5、問題及展望
為了降低核電成本,必須提高核燃料的燃耗,延長燃料元件的換料周期,這對燃料元件包殼鋯合金的性能提出了更高的要求。隨著研究的深入,傳統的顯微組織結構的檢測設備和表征方法已經無法滿足優化鋯合金成分設計及開發制備工藝技術的需求,而先進表征方法能夠幫助我們更深入地了解鋯合金的性能及服役行為。例如:利用三維原子探針表征鋯合金中元素的偏聚、擴散和遷移,研究合金中的各種缺陷團簇;利用比常規衍射儀準直性好的同步輻射 X 射線衍射儀,更準確地分析合金的相變化過程;利用原位拉伸試驗觀察不同位移情況下氫化物的變化情況,分析哪一種氫化物更易形成裂紋;利用透射電子顯微鏡的原位輻照技術,研究輻照過程中界面和位錯的變化等。因此,各種先進的檢測設備和表征方法,已被國內外廣泛運用在鋯合金包殼的微觀組織結構的研究之中。
目前,國內核電發展迅速,提高鋯合金的耐輻照、耐腐蝕等性能是非常重要和迫切的。雖然,鋯合金的顯微組織研究中用到了各種檢測設備和表征方法,但在合金的顯微組織研究中還存在一些認識不清楚和存在爭議的問題。例如:鋯合金中的第二相對腐蝕行為的影響還沒有從根本上得到一致的認識[3] ;開動不同的滑移和孿生系統的臨界切應力與溫度、應力分布、合金成分、組織等的關系,還需要更深入的認識[46] ;鋯合金的第二相、結晶行為、氧化膜、氫化物和織構,他們綜合作用于鋯合金的機制尚未達成共識[3] ;國內對輻照后鋯合金材料的顯微組織,研究報道還較少;從工藝角度看,耐事故燃料鋯合金包殼涂層是國內外研究的熱點[47] ,對氫化物的理解和控制也還需持續研究[48-52] 。另外,國內也存在一些的先進的檢測設備普適性不高的問題。例如:同步輻射 X 射線衍射儀,在國內只有 3家機構擁有同步輻射資源,分別為中國科學院高能物理研究所 的 北 京 同 步 輻 射 裝 置(Beijing Synchrotron Radiation Facility,BSRF)、中國科學技術大學的國家同步輻射實驗室(National Synchrotron Radiation Laboratory,NSRL)、中國科學院上海高等研究院的上海同步輻射光源(Shanghai Synchrotron Radiation Facility,SSRF),而這些同步輻射資源分別為第一、第二和第三代同步輻射光源,遠遠不能滿足研究人員的使用要求;又如南京理工大學、上海大學、北京科技大學、清華大學等多所高校,雖然已擁有原子探針,但原子探針的檢測費用相對較高;再如,電子探針結合波譜可以很精準地進行合金元素的定性定量分析,但檢測費用相對較高且檢測時間長,會對鋯合金顯微組織的研究造成一定的影響,不能大量、高效地開展研究工作。
鑒于鋯合金顯微組織研究在鋯合金材料科學及核工程材料領域發揮的重要作用,可以預見未來顯微組織研究技術還將面向核工程的需要而在以下方面不斷地發展和完善。(1)高分辨率顯微鏡技術的不斷發展及進步,特別是電子顯微鏡和原子力顯微鏡等高分辨率技術的普遍應用和技術創新,將能夠提供更詳細、精確的鋯合金顯微組織信息,使研究者可以更準確地了解材料的微觀結構;(2)智能化數據處理和分析,隨著人工智能和機器學習技術的快速發展,未來鋯合金顯微組織檢測的數據處理和分析將變得更加智能化,通過使用深度學習等技術,從大量的顯微組織圖像中提取出關鍵信息,加快研究的進展;(3)多模態成像技術的融合,未來的顯微組織檢測將更多地采用多種成像技術的融合(如光學顯微鏡、電子顯微鏡、X 射線顯微鏡等),在不同尺度上獲取更全面的信息,從而更全面地了解鋯合金的微觀結構;(4)精細、實時、原位觀察技術的發展,隨著實時、原位觀察技術的不斷發展,研究者將能夠在材料受力、受熱、受輻照等條件下直接觀察顯微組織的變化過程,建立鋯合金及涂層的熱-力-化耦合本構模型及壽命預報模型[53] ,這將為鋯合金材料設計和性能優化提供重要參考;(5)高通量測試和自動化技術,未來的鋯合金顯微組織檢測系統將更多地采用高通量測試和自動化技術,快速、準確地對大量樣品進行檢測和分析,從而加快研究的進程;(6)數字化顯微組織數據庫,未來可以建立一個龐大的數字化顯微組織數據庫,其中包含了各種鋯合金樣品的顯微組織信息,研究人員可以通過查詢這個數據庫獲取相關信息,從而加快研究的進程。
6、結語
鋯合金成分、性能及服役行為的研究,需要綜合利用先進的檢測設備及表征方法才能找到問題的本質,從根本上揭示提高鋯合金耐腐蝕性、力學性能的機制,從而早日研發出更多具有自主知識產權的新型鋯合金,并且使其能夠工程化應用。隨著顯微組織研究技術的不斷地發展和完善,鋯合金顯微組織檢測技術將會變得更加精確、高效、智能化,為鋯合金材料的研究和應用提供更強有力的支持。
參考文獻:
[1] 劉建章 . 核結構材料[M]. 北京: 化學工業出版社,2007.
[2] 劉欣,趙文金 . N18 鋯合金在 500 ℃空氣中的氧化行為[J]. 材料研究與應用, 2009, 3(1): 49-54.
[3] 吳璐, 邱紹宇, 伍曉勇, 等 . 中子輻照對鋯合金顯微組織的影響研究進展[J]. 重慶大學學報:自然科學版,2017, 40(4): 24-34.
[4] 鄺宏聰, 肖曉玲, 唐維學, 等 . 6013鋁合金第二相的形態和結構[J]. 材料研究與應用, 2020, 14(1): 55-58.
[5] 李強, 汪明敏, 徐龍, 等 . 含 Fe 或 Sn 的鋯合金顯微組織研究[J]. 稀有金屬材料與工程, 2017, 46(9): 2528-2532.
[6] COUET A, MOTTA A T, COMSTOCK R J.Hydrogen pickup measurements in zirconium alloys:Relation to oxidation kinetics[J]. Journal of Nuclear Materials, 2014, 451(1): 1-13.
[7] BURR P A, MURPHY S T, LUMLEY S C, et al.Hydrogen accommodation in Zr second phase particles:Implications for H pick-up and hydriding of Zircaloy-2and Zircaloy-4[J]. Corrosion Science, 2013, 69: 1-4.
[8] MOTTA A T, CAPULONGO L, CHEN L Q, et al.Hydrogen in zirconium alloys: A review[J]. Journal of Nuclear Materials, 2019, 518: 440-460.
[9] SHEN H H, ZU X T, CHEN B, et al. Direct observation of hydrogenation and dehydrogenation of a zirconium alloy[J]. Journal of Alloys and Compounds,2016, 659: 23-30.
[10] ZHAO Z, MORNIROLI J P, LEGRIS A, et al.Identification and characterization of a new zirconium hydride[J]. Journal of Microscopy, 2008, 232(3):410-421
[11] SHINOHARA Y, ABE H, IWAI T, et al. In situ TEM observation of growth process of zirconium hydride in zircaloy-4 during hydrogen ion implantation
[J]. Journal of Nuclear Science and Technology,2009, 46(6): 564-571.
[12] UNE K, NOGITA K, ISHIMOTO S, et al.Crystallography of zirconium hydrides in recrystallized zircaloy-2 fuel cladding by electron backscatter diffraction [J]. Journal of Nuclear Science and Technology, 2004, 41(7):731-740.
[13] BARROW A T W, KORINEK A, DAYMOND MR. Evaluating zirconium-zirconium hydride interfacial strains by nano-beam electron diffraction[J]. Journal of Nuclear Materials, 2013, 432(1): 366-370.
[14] HUANG J, YAO M Y, GAO C Y, et al. The influence of second phase particles on the crack formation in oxide films formed on zirconium alloys[J].Corrosion Science, 2015, 99: 172-177.
[15] 賈彥彥, 趙同新, 李哲夫 . 微束分析儀器在金屬材料研 究 中 的 應 用[J]. 電 子 顯 微 學 報 , 2017, 36(3):293-299.
[16] YEH M C, LI J L, LO P J, et al. Phase equilibrium in the Ni-Ti-Zr system at 800 ℃[J]. Journal of Phase Equilibria and Diffusion,2014, 35: 157-162.
[17] 高陽, 楊明馨, 胡勇, 等 . 冷卻速率對國產 Zirlo 合金LOCA 后 殘 余 塑 性 的 影 響[J]. 原 子 能 科 學 技 術 ,2019, 53(7): 1310-1316.
[18] 李青, 宋鵬, 黎振華,等 . 熱噴涂制備 Cr 涂層提高鋯合 金 包 殼 耐 事 故 性 的 研 究[J]. 材 料 研 究 與 應 用 ,2022, 16(1): 40-47.
[19] TORRES E, DESQUINES J, GUILBERT S, et al.Oxygen segregation in pre-hydrided zircaloy-4 cladding during a simulated LOCA transient [J]. Nuclear Sciences & Technologies, 2017, 27(3):1-8.
[20] STEINBRUCK M, PRESTEL S, GERHARDS U.High-temperature interaction of oxygen-preloaded Zr1Nb alloy with nitrogen[J]. Nuclear Engineering and Technology 2018, 50(2): 237-245.
[21] 胡小剛, 董闖, 陳寶清, 等 . 電弧離子鍍制備耐事故包殼材料厚 Cr 涂層及高溫抗氧化性能[J]. 表面技術, 2019, 48(2): 207-219.
[22] 馮柳 . 電子探針在金屬材料分析中的應用研究[J]. 中國金屬通報, 2020(7): 185-186
[23] XU D H, WIRTH B D, LI M M, et al. Recent work towards understanding defect evolution in thin molybdenum foils through in situ ion irradiation under TEM and coordinated cluster dynamics modeling[J].Current Opinion in Solid State and Materials Science,2012, 16(3): 109-114.
[24] RIBIS J, WU A, GUILLOU R, et al. Radiation-induced sharpening in Cr-coated zirconium alloy[J].Materials, 2022, 15(6): 2322.
[25] GAUME M, BALDO P, MOMPIOU F, et al. In-situ observation of an irradiation creep deformation mechanism in zirconium alloys[J]. Scripta Materialia,2018, 154: 87-91.
[26] GOEL L, GHOSH P S, MANI KRISHNA K V, et al. A study on the evolution of ω -phase in Zr-20Nb alloy under the influence of electron irradiation[J].Journal of Alloys and Compounds, 2022, 904: 163968.
[27] YUAN X Z, WANG H J, COLION SUN J, et al.AC impedance technique in PEM fuel cell diagnosis-A review[J]. International Journal of Hydrogen Energy,2007, 32(17): 4365-4380.
[28] KIM T, COUET A, KIM S, et al. In-situelectrochemical study of zirconium alloy in high temperature hydrogenated water conditions [J].Corrosion Science, 2020, 173: 108745.
[29] RENCIUKOVA V, MACAK J, SAJDL P, et al.Corrosion of zirconium alloys demonstrated by using impedance spectroscopy [J]. Journal of Nuclear Materials, 2018, 510: 312-321.
[30] ZHANG Y, QI H D, SONG X P, et al. Expansion deformation behavior of zirconium alloy claddings with different Hydrogen concentrations [J]. Journal of Nuclear Materials, 2021, 554: 153082.
[31] KIM T, CHOI K J, YOO S C, et al. Influence of dissolved hydrogen on the early stage corrosion behavior of zirconium alloys in simulated light water reactor coolant conditions [J]. Corrosion Science,2018, 131: 235-244.
[32] 陸敬予, 柯承志, 龔正良, 等 . 原位表征技術在全固態 鋰 電 池 中 的 應 用[J]. 物 理 學 報 , 2021, 70(19):236-262.
[33] SYRTANOV M S, KASHKAROV E B,ABDULMENOVA A V, et al. High-temperature oxidation of Zr-1Nb zirconium alloy with protective Cr/Mo coating[J]. Surface and Coatings Technology,2022, 439: 128459.
[34] SYRTANOV M S, KUDIIAROV V N,KASHKAROV E B, et al. Application of synchrotron radiation for In Situ XRD investigation of zirconium hydrides formation at gas-phase hydrogenation[J].Physics Procedia,2022, 84: 342-348.
[35] 周邦新, 劉文慶 . 三維原子探針及其在材料科學研究中 的 應 用[J]. 材 料 科 學 與 工 藝 , 2007, 15(3):405-408.
[36] HUDSON D, SMITH G D W. Initial observation of grain boundary solute segregation in a zirconium alloy (ZIRLO) by three-dimensional atom probe[J]. Scripta Materialia, 2009, 61(4): 411-414.
[37] SAWABE T, SONODA T, KITAJIMA S, et al.Analysis of atomic distribution in as-fabricated Zircaloy-2 claddings by atom probe tomography under high-energy pulsed laser[J]. Journal of Nuclear Materials,2013, 442(1): 168-174.
[38] GAULT B, FELFER P J, IVERMARK M, et al.Atom probe microscopy characterization of as quenched Zr-0.8wt% Fe and Zr-0.15wt% Cr binary alloys[J].Materials Letters, 2013, 91: 63-66.
[39] LIANG X, LI Q, HUANG J, et al. Atom probe tomography study of Fe segregation at phase interface in Zr-2.5Nb alloy[J]. Acta Metallurgica Sinica, 2019,32: 1281-1286.
[40] HUDSON D, CEREZO A, SMITH G D W.Zirconium oxidation on the atomic scale [J].Ultramicroscopy, 2009, 109(5): 667-671.
[41] HUDSON D, SMITH G D W, GAULT B, et al.Optimisation of mass ranging for atom probe microanalysis and application to the corrosion processes in Zr alloys[J]. Ultramicroscopy, 2011, 111(6):480-486.
[42] DONG Y, MOTTA A T, MARQUIS E A. Atom probe tomography study of alloying element distributions in Zr alloys and their oxides[J]. Journal of Nuclear Materials, 2013, 442(1): 270-281.
[43] DE GABORY B, DONG Y, Motta A T, et al. EELS and atom probe tomography study of the evolution of the metal/oxide interface during zirconium alloy oxidation[J]. Journal of Nuclear Materials, 2015,462: 304-309.
[44] SUNDELL G, THUVANDER M, YATIM A K, et al. Direct observation of hydrogen and deuterium in oxide grain boundaries in corroded Zirconium alloys[J].Corrosion Science, 2014, 90: 1-4.
[45] JENKINS B M, HALEY J, MEIER M, et al. Preliminary atom probe tomography evidence for hydrogen trapping at a β-Nb second phase particle in a neutron-irradiated zirconium alloy[J]. Microscopy and Microanalysis, 2022, 28: 1658-1659.
[46] 彭倩, 沈保羅 . 鋯合金的織構及其對性能的影響[J].稀有金屬, 2005, 29(6): 903-907.
[47] 胡小剛, 董闖, 陳寶清, 等 . 電弧離子鍍制備耐事故包殼材料厚 Cr 涂層及高溫抗氧化性能[J]. 表面技術, 2019, 48(2): 207-219.
[48] 李小寧, 袁改煥, 李恒羽 . 鈷靶件用鋯合金管材氫化物取向的控制[J]. 鈦工業進展, 2008, 25(5): 32-34.
[49] 趙林科, 王增民 . 軋制和退火工藝對鋯-4合金包殼管材氫化物取向的影響[J]. 鈦工業進展, 2011, 28(1):34-37.
[50] 徐春容, 趙文金, 鄧治國, 等 . 鋯合金包殼管氫化物應 力 再 取 向 研 究 概 述[J]. 熱 加 工 工 藝 , 2016, 45(12): 19-22.
[51] 陳波全, 彭倩, 曾子寒, 等 . 不同氫化物取向的 Zr-4管材制備方法研究[J]. 核動力工程, 2019, 40(1):51-55.
[52] 高雯, 楊忠波, 陳勇, 等 . 國產新型鋯合金 SZA-4、SZA-6 管材氫化物應力再取向研究[J]. 熱加工工藝,2019, 48(2): 71-75.
[53] 蔣季伸, 馬顯鋒, 王帥, 等 . 耐事故核燃料包殼涂層強度研究進展[J]. 材料研究與應用,2023, 17(5):923-941.
相關鏈接
- 2024-06-03 鋯合金薄板材蘭姆波探傷工藝研究
- 2024-05-27 工業級鋯及鋯合金性能研究現狀
- 2024-05-15 連續退火對再加工鋯合金棒鋯鍛件等鋯合金腐蝕性能的影響
- 2024-05-06 鋯合金的研發歷史、現狀及發展趨勢
- 2024-03-26 鋯棒鋯板鋯鍛件等鋯合金材料加工技術及應用研究
- 2024-03-05 工業級鋯棒鋯管等鋯及鋯合金焊接的最新研究進展
- 2024-02-24 鋯合金棒材超聲異常原因分析
- 2023-12-23 鋯棒廠家談鎢鋯合金反應結構材料的研究進展
- 2023-12-21 鋯棒廠家談高強韌鋯合金的發展與應用
- 2023-06-19 一站式概述鋯棒鋯板等鋯合金的性能、焊接工藝、應用

